Устройство и принцип действия электродвигателя.
Электродвигатель – это просто устройство для эффективного преобразования электрической энергии в механическую.
Для того что бы работал асинхронный двигатель необходимо, чтобы ротор вращался медленнее электромагнитного поля статора, в результате чего наводится ЭДС (возникает электроток) в роторе. Здесь важное условие, если бы ротор вращался с такой же скоростью как и магнитное поле, то в нем по закону электромагнитной индукции не наводилось бы ЭДС и, следовательно не было бы вращения. Но в реальности, из-за трения подшипников или нагрузки на вал, ротор всегда будет вращаться медленнее.
Магнитные полюса постоянно вращаются в обмотках мотора, и постоянно меняется направление тока в роторе. В один момент времени, например направление токов в обмотках статора и ротора изображено схематично в виде крестиков (ток течет от нас) и точек (ток на нас). Вращающееся магнитное поле изображено изображено пунктиром.
Например, как работает циркулярная пила. Наибольшие обороты у нее без нагрузки. Но как только мы начинаем резать доску, скорость вращения уменьшается и одновременно с этим ротор начинает медленнее вращаться относительно электромагнитного поля и в нем по законам электротехники начинает наводится еще большей величины ЭДС.
Вырастает потребляемый ток мотором и он начинает работать на полной мощности. Если же нагрузка на вал будет столь велика, что его застопорит, то может возникнуть повреждение короткозамкнутого ротора из-за максимальной величины наводимой в нем ЭДС. Вот почему важно подбирать двигатель, подходящей мощности. Если же взять большей, то неоправданными будут энергозатраты.
Скорость вращения ротора зависит от количества полюсов. При 2 полюсах скорость вращения будет равна скорости вращения магнитного поля, равного максимум 3000 оборотов в секунду при частоте сети 50 Гц. Чтобы понизить скорость вдвое, необходимо увеличить количество полюсов в статоре до четырех.
Весомым недостатком асинхронных двигателей является то, что они подаются регулировке скорости вращения вала только при помощи изменения частоты электрического тока. А так не возможно добиться постоянной частоты вращения вала.
В основе этого преобразования лежит магнетизм. В электродвигателях используются постоянные магниты и электромагниты, кроме того, используются магнитные свойства различных материалов, чтобы создавать эти удивительные устройства.
Существует несколько типов электродвигателей. Отметим два главных класса: AC и DC.
Электродвигатели класса AC (Alternating Current) требуют для работы источник переменного тока или напряжения (такой источник Вы можете найти в любой электрической розетке в доме).
Электродвигатели класса DC (Direct Current) требуют для работы источник постоянного тока или напряжения (такой источник Вы можете найти в любой батарейке).
Универсальные двигатели могут работать от источника любого типа.
Не только конструкция двигателей различна, различны способы контроля скорости и вращающего момента, хотя принцип преобразования энергии одинаков для всех типов.
Ипы электродвигателей

Коллекторные электродвигатели
Коллекторная машина - вращающаяся электрическая машина, у которой хотя бы одна из обмоток, участвующих в основном процессе преобразования энергии, соединена с коллектором. В коллекторном двигателе щеточно-коллекторный узел выполняет функцию датчика положения ротора и переключателя тока в обмотках.
Универсальный электродвигатель
Может работать на переменном и постоянном токе. Широко используется в ручном электроинструменте и в некоторых бытовых приборах (в пылесосах, стиральных машинах и др.). В США и Европе использовался как тяговый электродвигатель. Получил большое распространение благодаря небольшим размерам, относительно низкой цены и легкости управления.
Коллекторный электродвигатель постоянного тока
Электрическая машина, преобразующая электрическую энергию постоянного тока в механическую. Преимуществами электродвигателя постоянного тока являются: высокий пусковой момент, быстродействие, возможность плавного управления частотой вращения, простота устройства и управления. Недостатком двигателя является необходимость обслуживания коллекторно-щеточных узлов и ограниченный срок службы из-за износа коллектора.
- С постоянными магнитами
- С обмоткой возбуждения
Бесколлекторные электродвигатели
У бесколлекторных электродвигателей могут быть контактные кольца с щетками, таким образом не надо путать бесколлекторные и бесщеточные электродвигатели.
Бесщеточная машина - вращающаяся электрическая машина, в которой все электрические связи обмоток, участвующих в основном процессе преобразования энергии, осуществляются без скользящих электрических контактов
Асинхронный электродвигатель

Наиболее распространенный электродвигатель в промышленности. Достоинствами электродвигателя являются: простота конструкции, надежность, низкая себестоимость, высокий срок службы, высокий пусковой момент и перегрузочная способность. Недостатком асинхронного электродвигателя является сложность регулирования частоты вращения.
- Однофазный
- Двухфазный
- Трехфазный
Cинхронный электродвигатель
Синхронные двигатели обычно используются в задачах, где требуется точное управление скоростью вращения, либо где требуется максимальное значение таких параметров как мощность/объем, КПД и др.
- С обмоткой возбуждения
- С постоянными магнитами
- Реактивный
- Гистерезисный
- Реактивно-гистерезисный
- Шаговый
Специальные электродвигатели
Серводвигатель
Серводвигатели не являются отдельным классом двигателей. В качестве серводвигателя могут использоваться электродвигатели постоянного и переменного тока с датчиком положения ротора. Серводвигатель используется в составе сервомеханизма для точного управления угловым положением, скоростью и ускорением исполнительного механизма. Для работы серводвигатель требует относительно сложную систему управления, которая обычно разрабатывается специально для сервопривода.
Основные параметры электродвигателя

- Момент электродвигателя
- Мощность электродвигателя
- Коэффициент полезного действия
- Номинальная частота вращения
- Момент инерции ротора
- Номинальное напряжение
-
Электрическая постоянная времени
- Механическая характеристика
Момент электродвигателя
Вращающий момент (синонимы: вращательный момент, крутящий момент, момент силы) - векторная физическая величина, равная произведению радиус вектора, проведенного от оси вращения к точке приложения силы, на вектор этой силы.
M=Fr
где M – вращающий момент, Нм,
- F – сила, Н,
- r – радиус-вектор, м
Справка: Номинальный вращающий момент Мном, Нм, определяют по формуле

- где Pном – номинальная мощность двигателя, Вт,
- nном - номинальная частота вращения, мин-1
Начальный пусковой момент - момент электродвигателя при пуске.
Справка: В английской системе мер сила измеряется в унция-сила (oz, ozf, ounce-force) или фунт-сила (lb, lbf, pound-force)
1 oz = 1/16 lb = 0,2780139 N (Н)
1 lb = 4,448222 N (Н)
момент измеряется в унция-сила на дюйм (oz∙in) или фунт-сила на дюйм (lb∙in)
1 oz∙in = 0,007062 Nm (Нм)
1 lb∙in = 0,112985 Nm (Нм)
Мощность электродвигателя
Мощность электродвигателя - это полезная механическая мощность на валу электродвигателя.
- Мощность электродвигателя постоянного тока
Механическая мощность
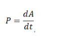
Мощность - физическая величина, показывающая какую работу механизм совершает в единицу времени.

- где P – мощность, Вт,
-
A – работа, Дж,
- t - время, с
Работа - скалярная физическая величина, равная произведению проекции силы на направление F и пути s, проходимого точкой приложения силы
dA=Fds
- где S – расстояние, м


-
где w – угловая скорость, рад/с,
Таким образом можно вычислить значение механической мощности на валу вращающегося электродвигателя

Справка: Номинальное значение - значение параметра электротехнического изделия (устройства), указанное изготовителем, при котором оно должно работать, являющееся исходным для отсчета отклонений.
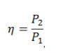
Коэффициент полезного действия электродвигателя
Коэффициент полезного действия (КПД) электродвигателя - характеристика эффективности машины в отношении преобразования электрической энергии в механическую.

-
где n – коэффициент полезного действия электродвигателя,
- P1 - подведенная мощность (электрическая), Вт,
- P2 - полезная мощность (механическая), Вт
- При этом потери в электродвигатели обусловлены:электрическими потерями - в виде тепла в результате нагрева проводников с током;
- магнитными потерями - потери на перемагничивание сердечника: потери на вихревые токи, на гистерезис и на магнитное последействие;
-
механическими потерями - потери на трение в подшипниках, на вентиляцию, на щетках (при их наличии);
- дополнительными потерями - потери вызванные высшими гармониками магнитных полей, возникающих из-за зубчатого строения статора, ротора и наличия высших гармоник магнитодвижущей силы обмоток.
КПД электродвигателя может варьироваться от 10 до 99% в зависимости от типа и конструкции.
Международная электротехническая комиссия (International Electrotechnical Commission) определяет требования к эффективности электродвигателей. Согласно стандарту IEC 60034-31:2010 определено четыре класса эффективности для синхронных и асинхронных электродвигателей: IE1, IE2, IE3 и IE4.
Частота вращения

- где n - частота вращения электродвигателя, об/мин
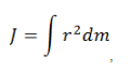
Момент инерции ротора
Момент инерции - скалярная физическая величина, являющаяся мерой инертности тела во вращательном движении вокруг оси, равна сумме произведений масс материальных точек на квадраты их расстояний от оси

- где J – момент инерции, кг∙м2,
- m - масса, кг
Справка: В английской системе мер момент инерции измеряется в унция-сила-дюйм (oz∙in∙s2)
1 oz∙in∙s2 = 0,007062 kg∙m2 (кг∙м2)
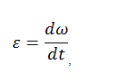
Момент инерции связан с моментом силы следующим соотношением

-
где e – угловое ускорение, с-2

Справка: Определение момента инерции вращающейся части электродвигателя описано в ГОСТ 11828-86
Номинальное напряжение
Номинальное напряжение (англ. rated voltage) - напряжение на которое спроектирована сеть или оборудование и к которому относят их рабочие характеристики
Электрическая постоянная времени
Электрическая постоянная времени - это время, отсчитываемое с момента подачи постоянного напряжения на электродвигатель, за которое ток достигает уровня в 63,21% (1-1/e) от своего конечного значения.

-
где Te – постоянная времени, с
Механическая характеристика
Механическая характеристика двигателя представляет собой графически выраженную зависимость частоты вращения вала от электромагнитного момента при неизменном напряжении питания.
Области применения электродвигателей

Электродвигатели являются крупнейшими потребителями электроэнергии в мире, на них приходится около 45% от всей потребляемой электроэнергии
- Электродвигатели используются повсеместно, основные области применения:промышленность: насосы, вентиляторы, компрессоры, конвейеры, движущая сила для других машин и др.
- строительство: насосы, вентиляторы, конвейеры, лифты, системы отопления, вентиляции и кондиционирование воздуха и др.
-
потребительские устройства: холодильники, кондиционеры, персональные компьютеры и ноутбуки (жесткие диски, вентиляторы), пылесосы, стиральные машинки, миксеры и др.
| ЭД1 | Функции |
Области применения |
|
Вращающиеся электродвигатели |
Насосы |
Системы водоснабжения и водоотведения |
|
Системы перекачки охлажденной или нагретой воды, системы отопления, ОВК2, системы полива |
||
|
Системы канализации |
||
|
Перекачка нефтепродуктов |
||
| Вентиляторы |
Приточно-вытяжная вентиляция, ОВК2, вентиляторы |
|
|
Компрессоры |
Системы вентиляции, холодильные и морозильные установки, ОВК2 |
|
|
Накопление и распределение сжатого воздуха, пневматические системы |
||
|
Системы сжижения газа, системы перекачки природного газа |
||
|
Вращение, смешивание, движение |
Прокатный стан, станки: обработка металла, камня, пластика |
|
|
Прессовое оборудование: обработка алюминия, пластиков |
||
|
Обработка текстиля: ткачество, стирка, сушка |
||
|
Смешивание, взбалтывание: еда, краски, пластики |
||
|
Транспорт |
Пассажирские лифты, эскалаторы, конвейеры |
|
|
Грузовые лифты, подъемные краны, подъемники, конвейеры, лебедки |
||
|
Транспортные средства: поезда, трамваи, троллейбусы, автомобили, электромобили, автобусы, мотоциклы, велосипеды, зубчатая железная дорога, канатная дорога |
||
|
Угловые перемещения (шаговые двигатели, серводвигатели) |
Вентили (открыть/закрыть) |
|
|
Серво (установка положения) |
||
|
Линейные электродвигатели |
Открыть/закрыть | Вентили |
| Сортировка |
Производство |
|
| Хватать и перемещать | Роботы |
Примечание:
-
ЭД - электродвигатель
-
ОВК - системы отопления, вентиляции и кондиционирование воздуха
Двигатели переменного тока

Электрические двигатели переменного тока бывают синхронными и асинхронными. Чем отличаются эти виды электродвигателей? Разница в том, что у синхронных ротор вращается с той же скоростью, с которой изменяется поле статора, в асинхронных моделях скорость ротора отличается.
Есть два типа двигателей переменного тока – с синхронным и асинхронным вращением ротора
Асинхронный двигатель переменного тока
В устройствах, которые питаются от трехфазной сети обычно ставят асинхронные движки. Так, что на производстве стоят именно они. В этих машинах в статор отдельная электромагнитная система. Внутрь корпуса вставляются пластины, в пазах которых располагаются фазные обмотки. Обычно фаз в статоре три, но может быть две, а может и много.
Ротор может быть двух типов – короткозамкнутый или фазный. Короткозамкнутый может быть цельнометаллическим (последние модели) или состоять из «беличьей» клетки с залитыми алюминием промежутками между стержнями клетки. Ротор вставляется в статор, между ними оставляют минимальный зазор, не более пары миллиметров даже для самых мощных. На статор подается напряжение, которое формирует вращающееся магнитное поле. Ротор попадает в зону действия магнитного поля, в нем наводятся токи. Результирующее поле имеет определенное направление, так что ротор начинает вращение. Так как поле возникает путем индукции, электрического контакта ротора со статором нет, нет коллектора и щеток. Вал фиксируется только в крышках статора на подшипниках. Этот двигатель относится к группе бесщеточных (бесколлекторных).
Асинхронный двигатель с разными роторами

Асинхронный двигатель с фазным ротором имеет коллекторный узел. На вал надевают магнитопровод из наборных пластин с ячейками под три фазные обмотки. Питание на обмотки подается через коллекторный узел, в них поочередно возникает магнитное поле, которое вкладывается с магнитным полем статора. Благодаря этому возникает вращение.
Особенности однофазных моделей
В однофазном асинхронном двигателе в статоре располагают две обмотки: она фазная, вторая вспомогательная или стартовая. Она нужна для «разгона» ротора, чтобы придать ему начальное вращение. Для обеспечения «отставания» включается стартовая обмотка через конденсатор. Так что часто такой тип асинхронника называют конденсаторным двигателем. Хотя, по сути, двигатель всё тот же асинхронный, но двухфазный.
Такие двигатели не могут развивать достаточного крутящего момента, потому применяются там, где это не требуется, например в вытяжных вентиляторах. Другие виды электродвигателей в этой области не применяют, так как большой крутящий момент тут излишен.
Достоинства, недостатки, область применения
Как уже говорили, асинхронные двигатели популярны и в основном модели с короткозамкнутым ротором. Плюсов несколько. Первый – нет коллектора, что упрощает конструкцию, мотор требует более простого и редкого обслуживания. Второй – их можно подключать к сети напрямую. Во время старта потребление тока сильно возрастает (в 3-7 раз по сравнению с номинальным), го такие перегрузки допустимы. Третий – конструкция проста и следовательно недорого.
Область применения асинхронных двигателей промышленные процессы, оборудование. Особенно там, где нет необходимости в высоких скоростях и в изменении скорости. Максимальная скорость, которую может развить подобный движок – 3 тыс. об /мин. Не так много, но для большинства оборудования достаточно. Регулируется скорость у такого движка слабо. Можно понизить напряжение и скорость уменьшится. Но если напряжение будет слишком низким, вырастет отставание скорости ротора от скорости магнитного поля, что приведет к перегреву и двигатель может перегореть.
Область применения двигателей переменного тока – приводить в действие оборудование на производстве
В настоящее время решена проблема регулирования скорости асинхронных двигателей. Их используют совместно с преобразователями частоты, подавая напряжение с них или встраивают этот блок в конструкцию, получая так называемые инверторные двигатели. В большинстве случаев, это именно асинхронники, питание которых осуществляется через встроенный преобразователь.
Что позволяет менять скорость в ещё более широких пределах, чем это позволяет делать двигатель постоянного тока. Причём может регулироваться и момент, уходит проблема стартовых токов, выключать движок тоже можно «мягко».
Почему асинхронный?
Скорость магнитных полей ротора и статора аналогична, но первый на 8–100 отстает от второго по фазе, что и обеспечивает асинхронную работу основных элементов (отсюда и название). Особенность таких электрических двигателей – создание очень больших пусковых токов. Это характерно для классических короткозамкнутых устройств (тех самых, при запуске которых мигает свет). Для снижения риска перегрузок при их эксплуатации применяется ряд мер:
- в машинах с высокими показателями мощности используют фазный якорь с тремя соединенными «звездой» обмотками;
- подключение роторных обмоток осуществляется не напрямую к электросети, а через коллектор (щетки, пластины), соединенный с пусковым реостатом.
В результате при старте работы такого электродвигателя происходит соединение с питанием и поступательное снижение активного сопротивления в цепи ротора до нуля. Нет миганий, перегрузок электросети – двигатель переменного тока запускается плавно.
Преимущества электродвигателей переменного тока
Электродвигатели асинхронного типа сделали возможной эксплуатацию 3-фазной сети, которая, по сути, сформирована тремя отдельными цепями с синусоидальными движущими силами (ЭДС) в каждой из них. ЭДС в фазах имеют одинаковую частоту, создаются одним источником (обычно это 3-фазный генератор), но сдвинуты по отношению друг к другу на 120 градусов.
3-фазная сеть – это уравновешенная система с константной мгновенной суммарной мощностью, а электродвигатель переменного тока, который от нее питается, имеет неоспоримые преимущества. Среди них:
- простая эксплуатация;
- низкая цена;
- надежность;
- эффективность в части контроля момента вращения и ее скоростью.
Однофазные электродвигатели
Наряду с 3-фазным, в практике широко применяются и 1-фазные асинхронные электродвигатели. Они представляют собой электрооборудование, питаемое от бытовой сети с напряжением 220 В (частота – 50 Гц). Как и 3-фазный аналог, он работает на преобразование получаемой электроэнергии в механическое действие – вращение.
Устройство и принцип работы 1-фазного двигателя проще:
- на статоре формируются минимум 2 обмотки – пусковая и рабочая;
- оси обмоток должны быть сдвинуты по отношению друг к другу на 90%;
- в конструкции добавляется еще один элемент – фазосдвигающий (это может быть катушка, конденсатор или резистор);
- питание осуществляется через подачу переменного тока на обмотку.
1-фазные электродвигатели переменного тока устанавливаются на приборах бытового применения (от центрифуг стиральных машин до холодильников) и маломощных станках для обрабатывающих предприятий.
Каталог электродвигателей по цене производителя
В каталоге ООО «Системы Электропривода» широко представлены электродвигатели для работы в одно- и трехфазной сети. Каждая модель устройства имеет подробное описание (технические характеристики, расшифровка наименования, габариты, данные о производителе и т. д.). В нашем ассортименте легко выбрать и можно выгодно купить электрические двигатели для решения самого широкого спектра задач.
